How To Calculate Vitamin C Concentration From Titration

Vitamin C Titration Calculations Youtube


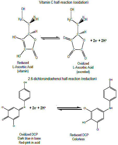
Lab 14 Determination Of Amount Of Vitamin C In A Commercial Product By Redox Titration

Determination Of Vitamin C Concentration By

Determination Of Vitamin C Concentration By Titration Ppt Video Online Download

Determination Of Vitamin C Concentration By Titration Chemteach

Determination Of Vitamin C In Broccoli Lab Report Chegg Com

Determination Of Vitamin C Concentration By Titration Ppt Video Online Download

Determination Of Vitamin C Concentration By Titration Ppt Video Online Download

Graph Of The Relationship Between The Concentration Of Vitamin C With Download Scientific Diagram
![]()
Pdf Determination Of Vitamin C Concentration By Titration Redox Titration Using Iodine Solution Introduction Dien Le Academia Edu

Determination Of Vitamin C Concentration By Titration Ppt Video Online Download

How Much Vitamin C Is In Fruit Juice Group4foods

Posting Komentar untuk "How To Calculate Vitamin C Concentration From Titration"